奧林巴斯手持式光譜分析儀,如Vanta XRF分析儀,在礦產行業斑巖礦床的勘探和開發中發揮著重要作用。這則應用注釋說明了Vanta手持式光譜分析儀如何能夠在斑巖勘探和采礦過程中準確地測量需要關注的常見元素,以及用于確定斑巖系統開采潛力的元素。

尋找斑巖地質系統對礦產勘探和采礦公司很有吸引力,因為這種系統往往蘊藏著具有巨大經濟價值的大型多金屬礦床。斑巖系統通常采用成本較低的露天開采方法開采,且礦山壽命較長(詳見下圖),當今世界上所開采的大部分銅(Cu)和鉬(Mo),以及約四分之一的金(Au)都是從斑巖系統中獲得的。

圖1. 疊套型斑巖銅系統的解析圖表明了多相斑巖礦中位于中心的斑巖銅 ± 金 ± 鉬礦床與其毗鄰主巖之間的空間相互關系(經Dick Sillitoe許可,在此轉載)。原始圖源自SEG雜志“經濟地質學”部分的文章“采用手持式X射線熒光技術進行礦產勘探”。
礦產行業與學術界合作,開展了大量工作,以增進對斑巖礦床的成因和開采潛力的了解,并開發出可在礦產勘探計劃中有效完成礦體定向的技術。2、3、4、5
手持式XRF分析儀檢測常見的斑巖組成元素的性能
以下數據表明了Vanta手持式光譜分析儀在分析一系列由OREAS(礦石研究和勘探分析標準公司)提供的斑巖銅認證參考樣品(CRM)和IOCG(氧化鐵銅金)pXRF商用試劑盒樣品時表現出的開箱即用性。CRM數據與Vanta手持式光譜分析儀所獲得的數據高度吻合,表明Vanta手持式XRF分析儀在分析采自這些礦床類型的完全制備好的樣品時可提供高質量的數據。

圖2. Vanta手持式XRF分析儀測量由OREAS提供的放于各種試劑盒中的斑巖銅和IOCG元素所獲得的數據與這些樣品的額定值高度吻合,表明了Vanta分析儀測量這些元素的出色性能。
此外,許多公開數據也表明Vanta礦石分析儀在檢測部分制備和未制備樣品時也能提供高質量的數據。您可以在以下資源庫的材料中查看其中一些數據:
·用于土壤調查的礦石分析儀:巖石露頭、土壤和沉積物的地球化學特征
·用于勘查鉆探的手持式XRF分析儀:逆循環/回轉式空氣爆破和鉆石取芯
·用于在礦產勘探和礦體定向應用中探測金元素和金探途元素的手持式XRF分析儀
使用礦石分析儀檢測可表明斑巖是否具有可開采潛力的指示元素
在實驗室中測量的鍶(Sr)、釔(Y)、氧化錳(MnO)、二氧化硅(SiO2)和鋯(Zr)的不同比例組合可用于有效區分斑巖銅環境中的成礦特性和妨礙成礦的侵入體。最近,澳大利亞塔斯馬尼亞大學礦床和地球科學中心(CODES)和英國萊斯特大學地理、地質和環境學院都對手持式分析儀在現場檢測制備好和未制備樣品以幫助勘探人員評估斑巖可開采性的能力進行了研究。
CODES團隊2019年發表在《地質勘探、環境、分析》(GEEA)雜志上的一篇論文1闡述了以下觀點:
1.基于實驗室數據的總體匯編,Sr/Y和Sr/MnO的全巖值可以有效區分斑巖銅環境中的成礦特性和妨礙成礦的侵入體。
2.根據傳統的全巖數據得到校準的pXRF數據,可代替傳統的全巖分析數據,提供Sr/Y對比Sr/MnO的銅礦前景判別圖表。
CODES團隊展示了他們對使用傳統ICP-MS/ICP-ES(電感耦合等離子體質譜法和發射光譜法)和手持式XRF分析儀檢測來自六個礦區的樣品所獲得結果進行比較的情況:(1)美國Yerington斑巖銅礦區(±鉬-金);(2)美國Resolution斑巖銅-鉬礦床;(3)秘魯Las Bambas銅-鐵矽卡巖礦區;(4)澳大利亞Cadia銅-金礦區;(5)澳大利亞Northparkes銅-金礦區;(6)澳大利亞Cowal銅-金礦區。
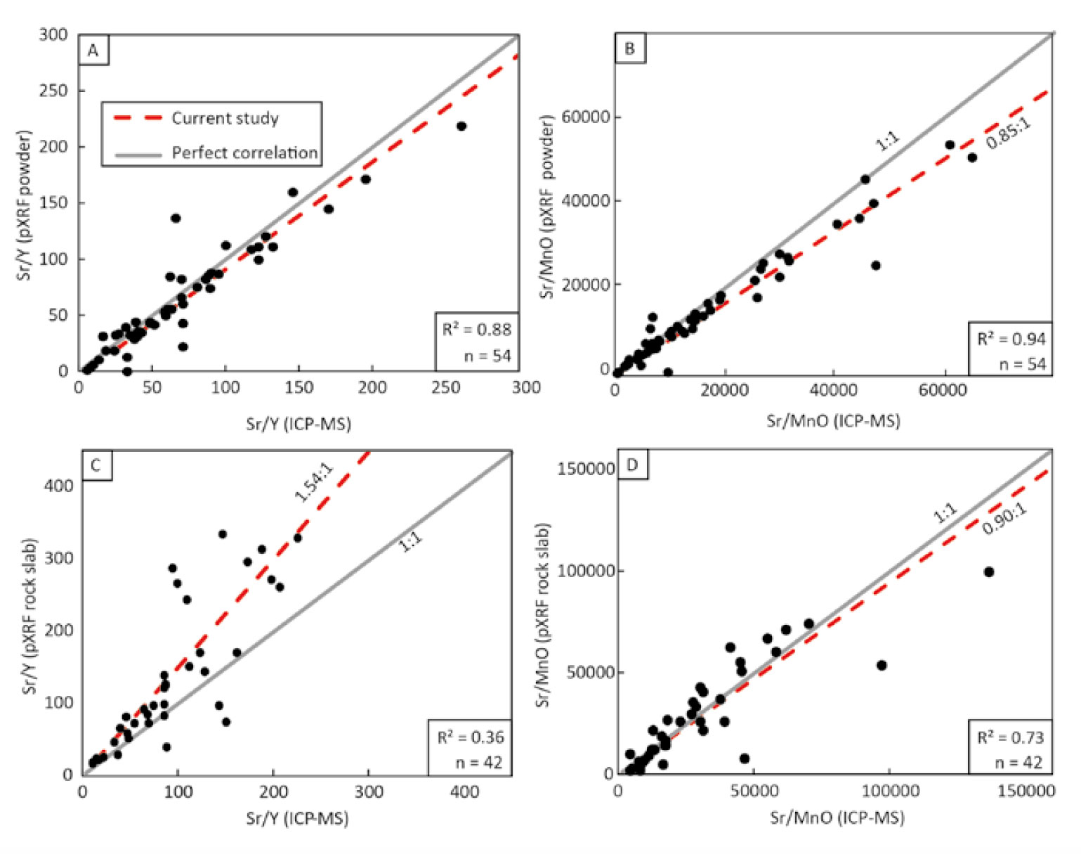
通過評估使用手持式XRF分析儀對礦漿材料(120目)和完整巖板(最大粒度0.5 cm)進行檢測所獲得數據的準確性和精密性,并將XRF數據與傳統的ICP-MS/ICP-ES全巖數據結果進行比較,CODES論文得出結論:礦石分析儀可以直接在現場對未加工巖石進行檢測,并成功獲取數據,以評估侵入體的成礦潛力。

圖3.CODES的研究:手持式XRF分析儀和傳統實驗室檢測不同樣品介質所獲數據之間的比較。
(a)Sr/Y:通過檢測放于密封杯中的礦漿材料獲得的手持式XRF數據和ICP-MS/ICP-ES數據。
(b)Sr/MnO:通過放于密封杯中的礦漿材料獲得的手持式XRF數據和ICP-MS/ICP-ES數據。
(c)Sr/Y:通過檢測完整巖板獲得的手持式XRF數據和ICP-MS/ICP-ES數據。
(d)Sr/MnO:通過檢測完整巖板獲得的手持式XRF數據和ICP-MS/ICP-ES數據。

圖4.CODES的研究:檢測來自六個斑巖銅和矽卡巖礦區的礦化前、礦化中和礦化后侵入巖而獲得的手持式XRF數據,繪于表明了具有可開采潛力區域的Sr/MnO對比Sr/Y的圖表中。這里列出了為每個礦區分析的樣品介質。(a)美國Yerington礦區;僅巖板。(b)美國Resolution礦床,巖板。(c)秘魯Las Bambas礦區,巖板。(d)澳大利亞Cadia礦區,礦漿粉。(e)澳大利亞Cowal礦區,礦漿粉和巖板。(f)澳大利亞Northparkes礦區,礦漿粉。
Marquis等人在倫敦舉行的礦床研究小組第43屆年會上介紹了他們的新近研究成果:通過對一系列采用不同方法制備、顯示各種不同肯定和中性可開采信號組合的樣品(Sr/Y對比SiO2;Sr/Y對比Zr)進行檢測,評估Vanta手持式XRF的性能。6他們采用了以下不同的方式對相同的樣品進行了檢測:
·對準目標,扣動扳機:無需準備,分析儀的前端與介質表面直接接觸。
·現場碾碎或研磨:在現場將硬介質碾碎或研磨至約200 μm
·實驗室類型:在實驗室環境中將干燥材料研磨并均質化至125 μm。壓制成表面光滑的顆粒。

圖5.萊斯特大學的研究:
(a) Sr/Y對比SiO2的判別圖表,通常用作可開采潛力指示。
(b) Sr/Y與Zr的對比表明Zr比SiO2的精確度和準確度更好。經萊斯特大學許可轉載。
該項研究發現,Vanta分析儀在檢測制備好的樣品時性能出色,但無法準確辨別碾碎樣品或完整巖石中的SiO2。這個結論可以預料,因為這些樣品具有異質性,且本來就會影響由手持式XRF分析儀測量的較輕的元素。不過,痕量元素越重,準確性越高,如Zr,因此即使在野外樣品中,也可以使用較重的元素代替二氧化硅,作為斑巖可開采潛力的指示元素。

圖6. 對OREAS的一些銅斑巖樣品進行檢測,可在線實時計算可開采性。
使用奧林巴斯Vanta手持式XRF分析儀上的偽元素功能,可隨時在分析儀屏幕上顯示任何感興趣的比率。此外,化合物顯示功能可使Vanta分析儀顯示與單個元素相結合的氧化物。分析儀在檢測過程中完成這些計算,如上圖所示。
